Mazen
Saad
in collaboration with H. Zhang
An algorithm for the numerical
approximation of two-phase flow in porous media by adaptive
mesh is presented.
A convergent and conservative finite volume scheme for an elliptic
equation is proposed and finite differences schemes for a
hyperbolic equation on grids with local refinement are constructed
and studied.
Hence, an IMPES (IMplicit in
Pressure Explicit in Saturation) method is applied in an
adaptive composite grid to track the front of a moving solution.
An object oriented programming techniques is used. The
computational results for different examples illustrate the
efficiency of the proposed algorithm.
(For more information here).
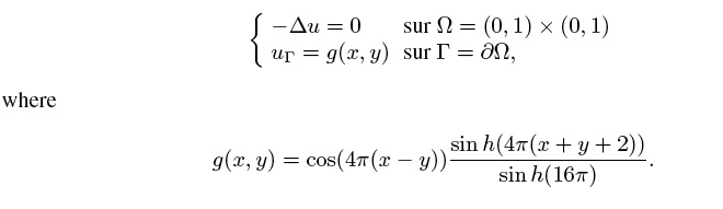
The first example demonstrates the
efficiency of the finite volume scheme on a composite grid. To
test this scheme we solve numerically a classical equation
of Poisson on a composite mesh :







